Page 1 sur 6
Re: Avisos de la classe Arras (ou Amiens)
Publié : mer. juil. 20, 2011 1:15 am
par NIALA
Les Arras ont été commandés à 43 exemplaires; 30 ont été terminés.
Arras et Reims en service en 1918.
Dunkerque renommé Ypres en 1932; Bar le Duc; Verdun renommé Laffaux en 1928; Bapaume; Amiens; Belfort; Calais; Coucy; Epernay; Epinal; Lassigny; Les Eparges; Nancy; Toul; Tahure; Vauquois; Vimy,en service en 1920.
Craonne; Lievin; Luneville; Peronne; Remiremont; Revigny; Montmirail; Vitry le François; Baccarat en service en 1921.
Mondement et Bethune en service en 1922.
Caractéristique des Arras:
déplacement: 850 tonnes
dimensions: 75 m x 8,71 m x 3,20 m
turbines 5 000cv; vitesse 20 noeuds;
armement: 2 x 138,6 mm (ou 2 x 145 mm)x 1 x 75 mm x grenades
effectif: 4 officiers; 99 hommes

L'aviso Arras
Cordialement
Alain
Re: Avisos de la classe Arras (ou Amiens)
Publié : dim. sept. 04, 2011 5:29 pm
par NIALA
Bonjour,
J'ai envie de vous parler encore des avisos de la classe Arras; je sais, certains esprits pointilleux me diront qu'ils sont arrivés trop tard pour faire la première guerre mondiale; mais ils appartenaient quand même au programme naval de 1917; onze d'entre eux ont tenu jusqua la seconde guerre mondiale; et surtout pour une fois; la seule me semble t'il, l'on a construit une série importante de navires assez conséquents; pensez 43 mis sur cale, et 30 terminés; nous dont le principal reproche fut, surtout à cette époque, de cultiver les flottes d'échantillons.
Les chaudières fonctionnaient au mazout 200 t, sauf Craonne, Liévin, Montmirail, Mondement, Baccarat et Bethune qui chauffaient au charbon (185 t )
J'attends avant de continuer de savoir si on me considére hors sujet ou pas.
Cordialement
Alain
Avisos de la classe Arras — ou Amiens.
Publié : ven. mai 22, 2020 12:18 am
par Rutilius
Bonjour à tous,
L’aviso de 1re classe Vauquois (1920~1940)

- VAUQUOIS - Aviso - I - .JPG (166.13 Kio) Consulté 4296 fois
Re: Avisos de la classe Arras (ou Amiens)
Publié : ven. mai 22, 2020 9:15 am
par olivier 12
Bonjour à tous,
Voir les photos de ces avisos sur ce lien :
viewtopic.php?t=46036
Cdlt
Avisos de la classe Arras — ou Amiens.
Publié : mar. févr. 15, 2022 8:57 am
par Rutilius
Bonjour à tous,
L’aviso de 1re classe Tahure (1920~1944)

- TAHURE – Aviso – I – .jpg (186.93 Kio) Consulté 3392 fois

- TAHURE – Aviso – II – .jpg (171.97 Kio) Consulté 3392 fois
Re: Avisos de la classe Arras (ou Amiens)
Publié : mar. févr. 15, 2022 9:26 am
par NIALA
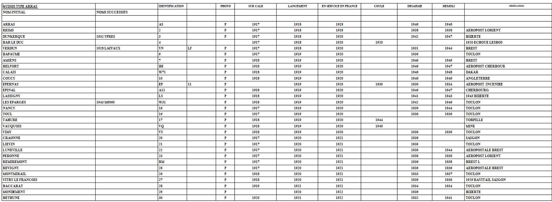
Avisos de la classe Arras
Puisque cette classe de navire est à nouveau évoquée je vous présente un tableau récapitulatif de ces 30 avisos que j'avais dressé il y a pas mal de temps, ils sont classés dans l'ordre de leur mise en service; les intitulés des colonnes sont je pense suffisamment explicites.
J'ai du le réduire pour le faire entrer sur le forum, je pense qu'il est lisible en utilisant le zoom de votre ordinateur.

- TYPE ARRAS Capture.JPG (250.27 Kio) Consulté 3380 fois
Alain
Re: Avisos de la classe Arras (ou Amiens)
Publié : mar. févr. 15, 2022 1:12 pm
par capu rossu
Bonjour Alain,
Les Allemands ont remis en service l'aviso Les Eparges sous le symbole M 6060 le 05/05/1943. En janvier 1944, ils décident de le transformer en Schnelle Geleitfahrzeuge (bâtiment d'escorte rapide) sous le repère SG 25. Les travaux sont menés à Marseille mais il est sévèrement endommagé par un incendie le 1er mars 1944. La conversion n'est toujours pas achevés lorsque la 3e DIA libère la ville. L'aviso est sabordé le 23 août 1944 le long da la traverse Jean Charcot dans le bassin du Lazaret.
Lors de l'inventaire des épaves du port de Marseille, il est hâtivement recensé comme Nimeth Allah. Une visite approfondie de l'épave, après enlèvement des débris divers (ferrailles) et de l'épave du FTo 12 Hidalga, est accomplie les 1er, 2 et 3 août par les scaphandriers de l'Entreprise Cardelli et permet de l'identifier correctement comme Les Eparges. La démolition sous-marine sera faite entre le 18 novembre 1946 et le 4 novembre 1947.
A noter que dans les gliderung et les KTB de la 6e Sischerungflottille, les Allemands l'orthographie Les Epargues.
@+
Alain
Re: Avisos de la classe Arras (ou Amiens)
Publié : mar. févr. 15, 2022 1:47 pm
par NIALA
Merci Alain, cela correspond a peu près à ce que j'ai indiqué sauf SG25 pour Les Eparges, ou il y a des blancs dans mon tableau notamment sur les dates de démolition ce sont des informations que je n'ai pas, si tu a des infos pour completer ou éventuellement corriger ce tableau, n'hésite pas.
Tu remarquera que le seul pour lequel je n'ai pas de photo c'est le Bar le Duc, il a duré si peu de temps!
Alain
Re: Avisos de la classe Arras (ou Amiens)
Publié : dim. oct. 09, 2022 9:50 am
par markab
Bonjour,
"LIEVIN - Aviso type Amiens
Chantier : Forges et Chantiers de la Méditerranée, La Seyne sur Mer
Commencé : 1917
Mis à flot : 03/1920
Retiré : 04/12/1935
Caractéristiques :
850 tonnes ; 5 000 cv. ; 74,9 x 8,7 x 3,20 m. ; 644 tW. ; 2 hélices ; 21 nds. ; 103 h. (4 officiers + 99 hommes)
2 x 138,6 mm ; 1 x 75 mm
Symbole de coque : LE
Conçu comme bateau piège pour la chasse aux sous-marins
10/5/1921 : Appareille de Toulon pour la Division navale du Levant (il est alors commandé par le futur amiral Decoux)
Devait initialement rallier la Mer Noire
1930 : 5e escadrille d'avisos (NANCY, SUIPPE, YSER, SCARPE et ENGAGEANTE)
16/11/1934 : Réserve spéciale
4/12/1935 : Condamné et rayé
1935 : Vendu pour démolition à Toulon."
Selon l'ouvrage de JM Roche.
A bientôt.
Re: Avisos de la classe Arras (ou Amiens)
Publié : dim. oct. 09, 2022 9:51 am
par markab
Bonjour,
Et voici une photo du navire
LIEVIN :

- LIEVIN
- LIEVIN.jpg (165.44 Kio) Consulté 2731 fois
A bientôt.